Daniel Gil, Future Energy Leaders Portugal / Associação Portuguesa da Energia
19/11/2025
O setor do AVAC encontra-se em plena transformação, impulsionado por metas cada vez mais exigentes de sustentabilidade, eficiência energética e inovação tecnológica. As tendências atuais refletem um esforço conjunto da indústria para responder simultaneamente aos desafios ambientais e às crescentes necessidades de conforto e saúde dos utilizadores.
A eficiência energética mantém-se como a prioridade número um. A pressão exercida pelo aumento dos preços dos combustíveis fósseis, aliada às metas de descarbonização definidas pela União Europeia, requer equipamentos cada vez mais eficientes enquanto acelera a eletrificação dos consumos.
Neste cenário, as bombas de calor assumem um papel central devido ao seu elevado desempenho dentro do universo dos equipamentos elétricos. Estes sistemas permitem reduzir de forma significativa o consumo de energia e oferecem uma grande versatilidade, uma vez que podem ser utilizados para aquecimento, arrefecimento ambiente e produção de águas quentes sanitárias. Para dar resposta a esta procura crescente, os fabricantes têm investido de forma consistente no desenvolvimento de bombas de calor com COP1 cada vez mais elevados e em sistemas modulares, capazes de se integrarem, não só nas infraestruturas e equipamentos existentes, mas também em combinação com outras tecnologias de aproveitamento de energias renováveis, como o solar térmico e o fotovoltaico.
A sustentabilidade ambiental continua a ganhar relevância, o que é notório não apenas na procura pela eficiência dos equipamentos AVAC, mas também na transição para refrigerantes mais ecológicos. A regulamentação europeia tem vindo a restringir o uso de gases fluorados com elevado impacto climático, incentivando a adoção de alternativas de baixo potencial de aquecimento global (GWP). Entre estas, destacam-se soluções como o dióxido de carbono (CO2), a amónia (NH3) e os hidrocarbonetos (como o propano – R290), que ganham cada vez mais espaço no mercado, por aliarem menor impacto ambiental a um desempenho técnico fiável.
A qualidade do ar interior também conquistou maior destaque nos últimos anos, em grande parte devido à pandemia. A crescente preocupação com a saúde e o bem-estar nos espaços interiores tem levado à implementação de sistemas de ventilação mecânica controlada com recuperação de calor, tanto em novos edifícios como em reabilitações. Estes permitem renovar o ar sem perdas térmicas relevantes e podem integrar mecanismos de filtragem e purificação, eliminando partículas, alérgenos, odores, vírus e bactérias. Embora já sejam utilizados há algum tempo em edifícios com elevada ocupação, como hospitais, escolas ou escritórios, a sua instalação no setor doméstico é recente e cada vez uma prática mais comum.
Contudo, a tendência mais disruptiva verifica-se na área do controlo e da automação inteligente. Já é possível gerir remotamente sistemas completos de climatização através de aplicações móveis, ajustando a temperatura, ventilação e horários de funcionamento em diferentes zonas do edifício e com elevada precisão. Mas, mais do que o simples controlo por parte do utilizador, a tendência atual aponta para equipamentos capazes de aprender e adaptarem-se autonomamente às condições climáticas exteriores, aos padrões de utilização e até às flutuações do preço da energia. A evolução da Inteligência Artificial promete acelerar esta transformação, tornando o conceito de edifício inteligente numa realidade concreta, onde todos os sistemas (climatização, iluminação, estores, veículos elétricos, fotovoltaico, entre outros) funcionam de forma integrada, eficiente, otimizada e com pouca (ou nenhuma) intervenção humana.
Apesar de todo o potencial, estas tendências parecem, à primeira vista, pensadas sobretudo para edifícios novos, grandes projetos ou utilizadores mais entusiastas da tecnologia. Fica assim, uma questão essencial: Estarão estas soluções a ser concebidas também para chegar à maioria da população e, em particular, àqueles que mais delas necessitam?
Figura 1 – Número de edifícios clássicos por época de construção. Fonte: INE (2021).
Figura 2 – Tipos de paredes construídas em Portugal, por ano. Fonte: 'Isolamento de paredes' – ADENE (2016).
Por outro lado, num país marcado por baixos níveis de poder de compra e reduzida literacia energética, é comum recorrer-se a soluções de curto prazo e baixo custo de aquisição, como é o caso dos aquecedores elétricos portáteis e das ventoinhas. Embora proporcionem algum alívio imediato, estes equipamentos são altamente ineficientes e, quando combinados com o fraco isolamento das habitações, resultam num consumo de energia muito elevado e, consequentemente, em custos significativos a curto prazo. Por esse motivo, muitas famílias acabam por limitar o seu uso, o que pode comprometer o conforto e a saúde. Não surpreende, por isso, que o Observatório Nacional de Pobreza Energética estime que entre 1,8 e 3 milhões de pessoas em Portugal vivam em situação de pobreza energética.
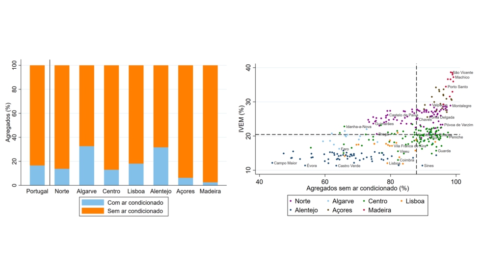
No entanto, existem tecnologias de climatização mais eficientes. O vulgarmente chamado 'ar condicionado'2 oferece uma eficiência energética significativamente maior, podendo aquecer e arrefecer de forma mais uniforme toda a habitação, com menor consumo de eletricidade. Contudo, um relatório da Nova SBE3 revela que em Portugal, em média, menos de 20% dos agregados possuem estes equipamentos. Observa-se ainda uma elevada correlação entre a ausência de ar condicionado e a vulnerabilidade energética das famílias (Figura 3).
Apesar de esta ser uma tecnologia madura, amplamente testada e eficaz no combate à pobreza energética, a falta de literacia energética limita a perceção das suas vantagens, enquanto a ausência de apoios dedicados dificulta a sua adoção. Não obstante, têm sido implementados incentivos no que respeita ao isolamento dos edifícios e programas de substituição de janelas, com vista à diminuição das pontes térmicas e à melhoria da eficiência energética.
Tornar estas soluções acessíveis e compreendidas exige uma aposta em medidas estruturais, como programas de reabilitação energética inclusivos, campanhas de informação e sensibilização, apoio técnico às famílias e políticas públicas que privilegiem soluções eficazes em vez de paliativos ineficientes.
O futuro do AVAC é, sem dúvida, digital, integrado e sustentável. Mas o presente exige pragmatismo. Os desafios atuais pedem soluções acessíveis, robustas e eficientes, capazes de responder às condições reais das habitações portuguesas. A verdadeira 'tendência' do setor não deve ser apenas tecnológica, mas também social. Garantir que ninguém fica para trás, que as soluções chegam às famílias e que o conforto térmico deixa de ser um privilégio para passar a ser um direito acessível.
Para que as tendências avancem de forma inclusiva, não basta promover tecnologia de ponta. É fundamental criar condições para que estas soluções sejam acessíveis à grande maioria das famílias, independentemente do seu rendimento. Isso implica a promoção de programas de incentivo mais simples, diretos e de rápida execução, que cheguem, de facto, às classes médias e baixas, e um esforço concentrado na área da educação energética.
Talvez o maior desafio do AVAC na próxima década não seja apenas desenvolver sistemas mais inteligentes, mas sim criar um equilíbrio entre inovação, literacia e acessibilidade.
1 O COP (Coefficient of Performance / Coeficiente de Desempenho) é uma medida de eficiência energética usada principalmente em sistemas de bomba de calor.
2 Nome técnico: bomba de calor ar-ar do tipo split ou multisplit.
3 'Pobreza Energética em Portugal: Uma análise municipal' – Nova SBE (2023).




www.oinstalador.com
O Instalador - Informação profissional do setor das instalações em Portugal